【最新】主なアイドルグループ&推しのアーティストのSpotify リスナー数がこちら

1: 47の素敵な(大阪府) (ワッチョイ a312-r1cj) 2020/02/19(水) 13:27:04.48 ID:qkYWQ7Sn0
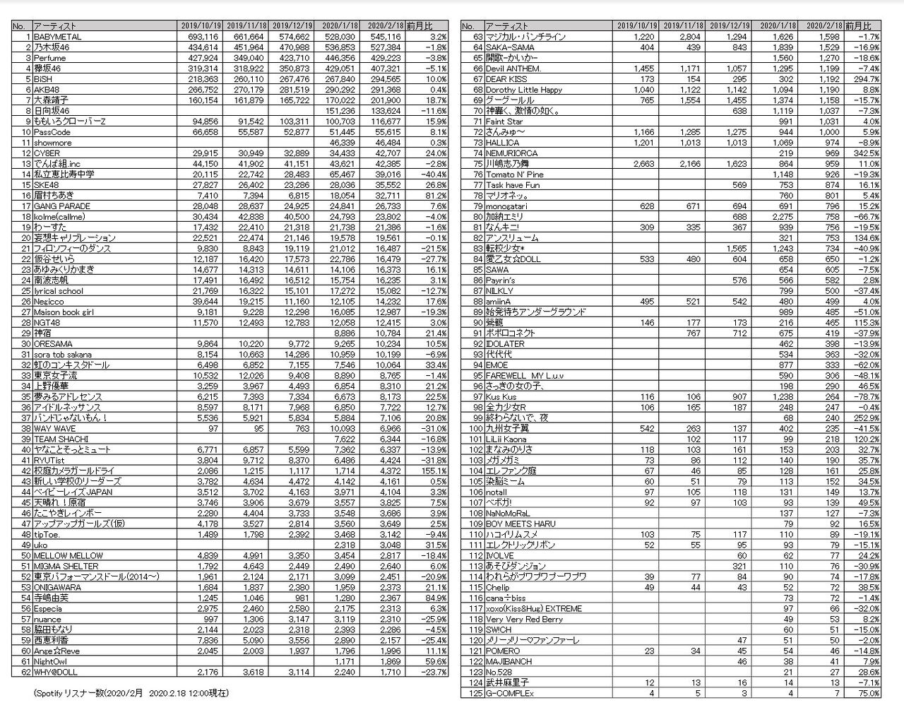
AKBは6位

no title

https://twitter.com/82e57_a/status/1229690240639455232

VIPQ2_EXTDAT: none:none:1000:1000:512: EXT was configured
https://twitter.com/5chan_nel (5ch newer account)

2: 47の素敵な(SB-Android) (オッペケ Sr07-5azo) 2020/02/19(水) 13:29:13.13 ID:856Nv1Tmr
ひさしびりに見たけどベビメタってこんな上だったっけ?
5位くらいかと
5: 47の素敵な(SB-iPhone) (ササクッテロル Sp07-XPqC) 2020/02/19(水) 13:44:18.39 ID:TrtzivQpp
>>2
ファン総数というよりSpotifyで音楽聴く層が好きそうではある
3: 47の素敵な(茸) (スップ Sd1f-b2av) 2020/02/19(水) 13:29:13.34 ID:ixKZcg66d
大森靖子はアイドルなのか?
6: 47の素敵な(山梨県) (ワッチョイW f331-y6FI) 2020/02/19(水) 14:29:56.61 ID:XmG9KuGb0
14位とか先月倍以上になって今月40パー減とかまともな数字には見えんが
7: 47の素敵な(東京都) (アウアウエー Sadf-fZwg) 2020/02/19(水) 14:57:58.05 ID:NEvehGm7a
ハロプロは聴けないの?
12: 47の素敵な(東日本) (ワッチョイW 7f28-hZJe) 2020/02/19(水) 15:45:57.35 ID:fgZiEmhK0
>>7
ハロプロはサブスクに否定的
8: 47の素敵な(茸) (スップ Sd1f-Ltf2) 2020/02/19(水) 15:06:01.34 ID:3gkLrajOd
48はひとまとめなのか
11: 47の素敵な(東京都) (ワッチョイ ffe1-bipF) 2020/02/19(水) 15:44:03.26 ID:+5fzccq10
15位:SKE 28位:NGT は見えるけど他は?
18: 47の素敵な(東京都) (ラクッペ MM87-1yNm) 2020/02/19(水) 17:51:49.45 ID:cu6jqLxaM
>>11
NMB 52398
HKT 24131
STU 11497
そもそもグループ大分抜けてる
15: 47の素敵な(茸) (スププ Sd1f-fcRw) 2020/02/19(水) 16:48:53.51 ID:OZL6jwO8d
サブスクって時代とは言え
束売りもいいとこじゃない?
17: 47の素敵な(東京都) (ワッチョイ 6f8f-L8iH) 2020/02/19(水) 17:13:10.01 ID:RdeKJCBV0
とりあえずAKBが前月比減ってないので安心した

引用元: http://rosie.5ch.net/test/read.cgi/akb/1582086424/


18: 管理人オススメ記事はこちら!! 1830/18/30(日)

【朗報】HKTメンバーのティクビがビンビンwwwww

【朗報】横野すみれの乳首勃起グラビアキタ━━ヾ(゚∀゚)ノ━━!!

山本彩加ちゃんのエチエチ画像キタ━━━━━(゚∀゚)━━━━━!!

【画像】陸上部女子高生さん、デカパイすぎるwwwwwwwwwwwwwwww

【速報】 巨乳女子アナ小林茉里奈さん、日テレ番宣ダンスを踊らされるwwwwwww

【朗報】14歳と15歳のおっぱいを惜しげもなく披露してくれるアイドルグループwwwwww

【朗報】山内ずっきーが山田野絵との2ショットを拒否wwwwwwwwwwwwwww

【朗報】 松井玲奈さん、突如として巨乳化してしまう

【乃木坂46】与田祐希ちゃんのお●ぱいが凄すぎる

【画像大量】やっぱりニットでお●ぱいだよな

18: ライブや握手会の遠征をお得に予約! 1830/18/30(日)

18: AKB48関連商品 1830/18/30(日)


タイトル未定 (初回限定盤A CD+DVD) [ AKB48 ]

18: AKB48G LIVE!! ONDEMAND配信中! 1830/18/30(日)
AKB48 LIVE!! ON DEMAND

REVIVAL!! ON DEMAND

HKT48 LIVE!! ON DEMAND

NGT48 LIVE!! ON DEMAND

よかったらシェアしてね!
  • URLをコピーしました!
  • URLをコピーしました!

この記事を書いた人

コメント

コメントする

目次